The rating system in ETT applies to ranked multiplayer games as a measure of approximate relative skill, based on the Elo system of chess ratings.
Description[]
Elo is a system where the rating difference between players is used to predict their likely results. As such, two players differing by 100 rating points are predicted to have similar disparity of results (the higher rated player winning 64% of games) no matter whether that's between players rated 2500 vs 2400, 1600 vs 1500 or 200 vs 100.
The system is essentially risk vs reward - if you play a player rated far above you, you have a high risk so you gain many more points for a win then a low-risk game where you beat a player rated far below you. Conversely for losses, you lose many points losing to someone rated far below you and lose few losing to someone rated far above you.
Players start at a rating of 1500. Previously players started at the ratings floor of 0, which led to a greater range of real skill being clumped at the lower ratings than intended. Changes to this system have caused the rating distribution to be more normal.
To avoid one player harvesting many points from a player they know they can consistently beat, in a 24 hour period an entire series of games between two opponents can at most result in double the elo change of a single game. The rating result from a single game can at most be 32 points for a massive ratings underdog with no previous games in the last 24 hours.
Formula[]
For a given opponent, your Expectation Factor of

indicates what proportion of games you are expected to win, where ΔR = your initial rating - their initial rating. For example, if your rating is 300 and your opponent is rated 150, you are expected to win 0.703, or 70.3% of your games. Expectation factors for opposing players will always sum to 1.
For ratings purposes, the results between two players are treated as a series until there has been a 24 hour break between games.
n = number of games in the series
W = wins in series / n

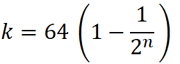
Your change in elo for the overall series will be K * ( W - E ). W-E has a range from -1 to 1, and K ranges from 32 from one game to an asymptote of 64 after many games, so the maximum elo change up or down from one game is 32 and the maximum from a series of games without a 24 hour break between them is 64.
Between equally ranked opponents, E=0.5 so W-E ranges from -0.5 to 0.5 and so the winner of one game gains 16 points and the loser loses 16 points, and the maximum changes from a series of games without a 24 hour break between them is 32.
In any case, the closer the results (W) are to the expectation facter (E), the closer W-E is to 0 and the less the elo change to both parties.
As a result of this, your opponent's expectation factor determines how many points you can take from them, multiplied by 32 for a single match and 64 for a series.
No matter what the previous results are and what the players' rankings are, if you are in game n of a series, the points at stake (i.e. the difference in rating between winning and losing for both players) is always k/n. e.g in game 4, k=60 and k/n=15, so either party will be 15 points better off from winning that individual match than they would be from losing.
Example[]
Player A is rated 1984 and player B is rated 2176 and have not played each other in at least 24 hours, and match in ranked multiplayer. The rating difference is 2176-1984=192, therefore:
Player A's expectation factor is 1/(1+10^(192/400))=0.249
Player B's expectation factor is 1/(1+10^(-192/400))=0.751
A wins the first match (n=1, k=64*(1-1/2)=32. They gain 32*(1-0.249)~24 points (W=wins/n=1/1=1) and B loses the same amount (32*(0-7.51)~ -24) (W=0/1). A is now at 1984+24=2008, B is at 2176-24=2152, however, these rankings do not play into the calculations for elo, expectation factors etc, only serving as a starting point from which to change.
Less than 24 hours passes before their next match, so even though they have played other people and A is now rated 2024 and B is now rated 2166, it is considered part of the same series and points changes are based on that series and expectation factor.
This time B wins the 2nd match (n=2, k=64*(1-1/4)=48). W for both players = wins/n = 0.5. This reduces A's gain for the series to 48*(0.5-0.249)~12 points (so in effect they lose 24-12=12 points, sinking to 2024-12=2012) and B improves to 48*(0.5-0.751)~ -12, in effect gaining 12 points for this match (now 2166+12=2178).
They play one third and final time without playing any other matches (again before 24 hours have passed since their last match against each other), with A winning again. k=64*(1-1/8)=56.
A's overall W is 2/3=0.666.. , so for the series, A gains 56*(0.666..-0.249)~23 points, gaining 11 points since the last game (2012+11=2023). B's tally sinks 11 points compared to before (56*(0.3333-0.751)~-23) and they now have 2178-11=2167 points.
If they were to play another match now, it would become again part of the same series with k=64*(1/16)=60 and adding to the existing tally. Instead, let's assume they don't play at all again for over 24 hours, including other players, and match against each other again. This starts a new series with a fresh expectation factor based on their new rating difference, 2167-2023=124:
Player A's expectation factor is 1/(1+10^(124/400))=0.329
Player B's expectation factor is 1/(1+10^(-124/400))=0.671
And as there is no recent series to build on, k=64*(1-1/2)=32 again, and A's win would result in 32*(1-0.329)~21 points gain and B losing the same amount, and a B win would result in 32*(1-0.671)~11 points gain to B and the same loss to A.
